DIGITAL SIGNAGE | Consider digital billboards a contributing outdoor light source
Digital billboards are dominating skylines worldwide, owing to the availability and affordability of commercial lighting and electronics display technologies and the implementation of smart city strategies. They are durable, adaptable, efficient, and economical to maintain compared with traditional signage.
Although research has not proven that digital billboards affect motor vehicle crash rates,1, 2 the billboards may have an impact on driver speed, lateral control, mental workload, ability to follow road signs, and eye movements and fixations. This suggests that digital billboards can pose a danger of distracting drivers, thereby increasing crash risk if not designed and installed according to appropriate standards.1, 3
In the future, autonomous vehicles could resolve these risks for drivers. However, the influence of the billboards on the visual comfort of other road users — passengers, cyclists, and pedestrians — and local residents should not be neglected.4
Billboard placement
Billboards typically appear in commercial areas or busy arterial corridors. To maintain safety, they should not be located near traffic devices (traffic signals, pedestrian and railway crossings), driver decision points (intersections, ramps, interchanges, merge lanes, and turn lanes), or areas of limited sight distance.5, 6
For example, in New Zealand, the Christchurch District Plan requires billboards to be located at least 50m from any signalized traffic intersection; to not be directly visible from a residential zone; and to not be located adjacent to a state highway with a speed limit greater than 70 kph.7
Obtrusive light: Brightness, trespass, and sky glow
Luminance is a critical factor for safe driving; it is the measurement of the brightness of a luminous surface, in units of candelas per square meter (cd/m2). Very bright light sources can cause disability or discomfort glare. Disability glare is caused by the scattering of light as it passes through the eyes’ optical media. A point source does not project on the retina as a point; it “spreads out” and superimposes a “veil” of light (veiling luminance) over the retinal image, thus reducing visual contrast.8
The total veiling luminance (equivalent veiling luminance) contributed by all glare sources can be calculated as follows:
Where:
Lveil is the equivalent veiling luminance in cd/m2;
A is the observer’s age in years;
Ei is the vertical illuminance at the observer’s eyes, on the plane perpendicular to normal line of sight, contributed by the ith light source, in lux; and
θi is the angle between sight line and the line from the eye to center of the ith light source, in degrees.
The equation above shows that a brighter light source, smaller viewing angle, and greater age altogether reduce the observer’s visual acuity in a visually adapted lit environment. Greater veiling luminance will increase the Threshold Increment (TI), which means higher ambient lighting levels are required to achieve the desired visual contrast.
While the luminance metric concerns visual safety and comfort relative to viewing digital billboards, illuminance quantifies how much obtrusive light (light trespass) billboards spill to the environment. In this case, an illuminance meter measures the vertical or horizontal light levels at a specified area, both with the billboard turned on and off, to determine the amount of light spill.
Local governments and transport authorities typically maintain relative standards for billboard brightness and obtrusive light. Table 1 provides example standards summaries from various countries. Sensors and lighting controls can be implemented to mitigate glare and obtrusive light by adjusting display brightness to suit the ambient lighting level.
Figure 3 illustrates an appropriate display cutoff beyond the upper and lower viewing angles of a pixel unit (RGB LEDs) on a digital billboard, designed to reduce unwanted light spill. Sky glow is a form of upward light spill that can affect the local ecosystem.
Image dwell and transition time
Images and motion on digital billboards also pose potential hazards to drivers and other roadway occupants. Dwell time is the interval of change between each individual image on a billboard. Studies have found that shorter dwell times increase the amount of time drivers spend looking in anticipation of the next image. Images with dwell time shorter than 7 seconds attract the attention of drivers more than road signs.1, 9 Ideally, drivers should not be able to view more than one image change as they drive toward and past the sign, to reduce glances.7
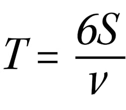
Dwell time is determined by visibility distance (shown in Fig. 4) and travel speed, as calculated below:
Where:
T is the dwell time in seconds;
S is the visibility distance in meters; and
v is the proposed speed limit in kph.
A minimum dwell time of 8 seconds is widely accepted by the industry.1, 7, 10, 11
To minimize distraction, images should be static, the maximum transition time (or cross-dissolve) between successive displays should be between 0.5 to 2 seconds, without other visible effects,3, 7, 10, 11, 12 and the average luminance level should not fluctuate greater than 30% between images.3
Furthermore, to avoid overloading demands on driver attention, the number of billboards in a defined length of road should be restricted. For instance, New Zealand Transport Agency (NZTA) defines minimum spacing for billboards in various speed scenarios, as shown in Table 2. In the U.S., standards limit the number of billboards to two or three within the driver’s field of view.1, 12
Conclusions
The number of digital billboards is expected to increase within the global smart-city context. However, their lighting impacts on traffic, environment, and public wellbeing are not yet fully understood. This article suggests scientific planning, implementation strategies, and effective regulations for digital billboards.
REFERENCES
1. S. Namba, “Effects of outdoor advertising displays on driver safety,” Caltrans Division of Research and Innovation (2012).
2. B. Frith and M. Trotter, “The impact on road safety of digital roadside billboards,” Opus International Consultants Ltd (2015).
3. “Digital billboard guidance — an addendum to traffic control devices manual part 3 — advertising signs,” New Zealand Transport Agency (2022).
4. C. Zhu, “Interior lighting environment will boost autonomous vehicle development,” LEDs Magazine, 21–23 (March 2023).
5. “Pasco county land development code,” Pasco County, USA, 406.7–9 (2018).
6. “Guidelines for the review of sign variance applications for billboard signs with electronic changing copy,” City of Mississauga, USA, 6–7 (2017).
7. “Billboard rule interpretation and processing guidance,” Christchurch City Council, New Zealand, 4–12 (2021).
8. C. Zhu, “Road lighting disability glare — a study comparing LEDs with HPS,” Lighting Art & Sci., 32–39 (June/July 2019).
9. P. Tomczuk and A. Wytrykowska, “Digital billboards dynamic luminance measurement,” Matec Web of Conferences, 231, 04013 (2018).
10. “Planning and design review of illuminated & electronic signs,” Martin Rendl Associates, 16 (2013).
11. “Guide to outdoor advertising,” Indiana Department of Transportation, 8 (2020).
12. “St. Albert digital display guidance,” City of St. Albert, MORR Transportation Consulting Ltd, 8–13 (2017).
YUNYU “CLAUDE” ZHU is a lighting engineer based in Australia. With a bachelor’s degree in optical science from China’s Northwest University and a master’s degree in lighting from Queensland University of Technology, he has been working in the industry since 2009.
Follow our LinkedIn page for our latest news updates, contributed articles, and commentary, and our Facebook page for events announcements and more. You can also find us on Twitter.
Yunyu Zhu
YUNYU “CLAUDE” ZHU is a lighting engineer based in Australia. With a bachelor's degree in optical science from China's Northwest University and a master's degree in lighting from Queensland University of Technology, he has been working in the industry since 2009, leaving his footprint in China, Saudi Arabia, New Zealand, and Australia. In addition to lighting, Zhu has a deep interest in science, philosophy, and nature.

![FIG. 2. The impact of disability glare on visual contrast.[8] The left image represents a glare-controlled lighting scenario, where the person’s face is visible. In the right image, the same face becomes blurred due to glare and reduced contrast. FIG. 2. The impact of disability glare on visual contrast.[8] The left image represents a glare-controlled lighting scenario, where the person’s face is visible. In the right image, the same face becomes blurred due to glare and reduced contrast.](https://img.ledsmagazine.com/files/base/ebm/leds/image/2023/07/2307LED_zhu_fig2.64a853f40739c.png?auto=format,compress&fit=max&q=45&w=250&width=250)










